In questa lezione troverai tutto quanto c’è da sapere su come risolvere le disequazioni di primo grado: esercizi svolti e i problemi più comuni degli studenti che affronteremo assieme.
Gli argomenti della lezione
Nella scorsa lezione abbiamo visto, con definizioni e qualche esempio, come risolvere le disequazioni di primo grado. Oggi ci concentreremo ad affrontare degli esercizi, con difficoltà crescente. Troverai ogni passaggio ben evidenziato e commentato. Iniziamo ad affrontare quindi i primi più semplici esercizi sulle disequazioni di primo grado.
Disequazioni di primo grado esercizi svolti
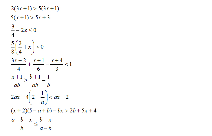
- Il primo esercizio sulle disequazioni di primo grado non presenta particolari elementi di difficoltà. Il primo passo è di trasformare il doppio denominatore.
Il diviso 4 della frazione, possiamo trasformarlo in una moltiplicazione per l’inverso (cioè 1/4). Infine dopo pochi semplici passaggi e dopo aver calcolato il minimo comune multiplo, arriviamo facilmente alla conclusione. Lasciamo a voi disegnare il grafico della disequazione.

- Nel secondo esercizio sulle disequazioni di I grado, proviamo a sviluppare un problema con il calcolo letterale. E’ sufficiente calcolare il minimo comune multiplo riducendo tutti i membri allo stesso denominatore.

- L’ultimo esercizio, oltre ad avere il calcolo letterale, ha per noi un elemento di novità: la discussione. Le disequazioni di primo grado con discussione non sono particolarmente complesse, bisogna solo capire il meccanismo. Vediamo come risolvere:
Come possiamo procedere con la discussione della disequazione di I grado? Fissata l’incognita x su cui non c’è nulla da dire, andremo a verificare cosa succede al variare del valore di a.
Notiamo subito che se a=-1, vuol dire che avremo un denominatore uguale a zero. Cioè:
Che succede inoltre quando a è più grande o più piccolo di questo valore?

Problemi sulle disequazioni di primo grado
Le disequazioni di primo grado sono utili anche nella vita reale. Certo, i più scettici diranno che è impossibile avere delle situazioni in cui applicare questi concetti di matematica. Ma vediamo un esempio concreto di problemi risolvibili con le disequazioni di I grado.
Traccia: Giovanni vuole iscriversi ad una scuola per avere lezioni private di matematica. In un primo istituto gli vengono chiesti 150 euro di iscrizione + 3 euro per ogni lezione. Nella seconda scuola la domanda è di 100 euro + 4 per ogni lezione. Qual è l’offerta più conveniente?
Ovviamente dipende da quante lezioni dovrà seguire Giovanni. Questa sarà quindi l’incognita: x= numero di lezioni per cui la prima scuola conviene rispetto alla seconda. Vediamo come risolvere praticamente il problema. La prima scuola costa 150+3x, mentre la seconda 100+4x. La disequazione di I grado da imporre sarà:
150+3x<100+4x
3x-4x<100-150
-x<-50
x>50
Questo significa che da 0 a 50 lezioni sarà più conveniente la scuola 2, mentre dalla lezione 51 in poi a Giovanni converrà iscriversi alla scuola 1.
Disequazioni di primo grado, esercizi da risolvere
Ti consigliamo di provare a risolvere gli esercizi di seguito elencati. Potrai così perfezionare la tua tecnica e verifica se effettivamente hai capito come risolvere le disequazioni di primo grado. Ricordati di fare il disegno del grafico alla fine di ogni esercizio, ti sarà molto utile per prendere dimestichezza prima di affrontare argomenti più complessi come le disequazioni fratte, in cui l’incognita compare al denominatore, o i sistemi di equazioni e disequazioni, in cui ci sono più variabili, cioè due incognite o anche di più.
Risolvi le seguenti disequazioni di primo grado intere e rappresenta graficamente l’insieme I delle soluzioni.

Per dubbi o chiarimenti restiamo come sempre a tua disposizione tramite il modulo contatti.

Come possiamo procedere con la discussione della disequazione di I grado? Fissata l’incognita x su cui non c’è nulla da dire, andremo a verificare cosa succede al variare del valore di a.
Che succede inoltre quando a è più grande o più piccolo di questo valore?