Dopo aver studiato nelle lezioni precedenti qual è la definizione di un monomio, vediamo come è possibile eseguire in maniera semplice la somma di monomi, argomento che sarà fondamentale anche nello studio dei polinomi.
La somma di monomi è una delle 4 operazioni con i monomi. Per capire come effettuarla, possiamo iniziare da alcuni semplici esempi.
SOMMA DI MONOMI
Il risultato di un’addizione di monomi si ottiene sommando tra loro i monomi simili.
Quando troviamo notazioni del tipo
![]()
oppure
![]()
Ci rendiamo conto di essere davanti a delle operazioni di addizione, dove figurano monomi “separati” dal segno “+”.
- Nel primo caso possiamo notare come tutte le parti letterali dei monomi siano uguali tra loro: questa addizione prende quindi il nome di somma di monomi SIMILI (cioè con la stessa parte letterale). Lo svolgimento di questa addizione di monomi è molto semplice: occorre solo sommare i coefficienti tra loro e riscrivere a destra del risultato la parte letterale. Si fa notare che i tre monomi hanno stessa parte letterale.
Scriveremo quindi che

- Nel secondo caso, invece, notiamo che la parte letterale NON è uguale in tutti i monomi (xy;z): la scrittura rimane tale perché non possiamo sommare più i monomi dato che sono tutti diversi tra loro, e perciò la somma prende il nome di POLINOMIO.

E’ importante, quindi, tenere a mente che la somma di monomi è un’operazione che si può effettuare SOLO SE I MONOMI SONO SIMILI.
ADDIZIONE ALGEBRICA DI MONOMI
Per eseguire un’addizione algebrica di monomi svolgiamo lo stesso processo della somma di monomi tradizionale, ricordando che tra i coefficienti può figurare anche il segno “-“. Si tratta di una semplicissima somma, ma con alcuni numeri negativi (vedrai che non è altro che una sottrazione tra due numeri)
Scrivere
![]()
è infatti uguale a scrivere
![]()
Risolvendo otteniamo quindi:
![]()
Succede spesso che, in una somma di monomi, figurino alcuni monomi simili e altri diversi. Niente paura! Le regole da applicare sono le stesse che abbiamo imparato: sommiamo algebricamente i coefficienti dei monomi simili, mentre lasciamo scritti inalterati gli altri rimanenti.

Un trucco utile che possiamo utilizzare per somme di monomi con numerosi termini è quello di indicare con uno stesso segno i monomi simili tra loro, in modo tale da poterli riconoscere più facilmente e sommare i loro coefficienti senza il rischio di saltarne qualcuno o di aggiungerne altri di altri monomi. Il segno può essere una linea dritta, un cerchietto, una linea ondeggiata (insomma, un qualsiasi segno a nostro piacimento) che disegneremo sotto ai monomi simili.
Somma di monomi opposti
Un caso particolare è quello in cui vi sono, in una somma algebrica di monomi, due monomi OPPOSTI: la loro parte letterale è uguale (sono infatti anche simili) ma il loro coefficiente è opposto.
La somma di monomi opposti è sempre uguale a 0: i due termini si elidono, ossia “annullano”.

Quando monomi opposti figurano in addizioni algebriche di monomi, li annulliamo e procediamo con i nostri calcoli scrivendo gli altri monomi:

Dopo questa lezione, sarai ormai capace di muoverti correttamente nella somma di monomi!
Esercizi svolti
Ecco qui tre esercizi svolti, di difficoltà crescente, per applicare ciò che hai imparato.
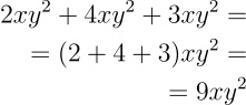
Esercizio 1
Noto che si tratta di monomi tutti simili tra loro, perciò:

ESERCIZIO 2

ESERCIZIO 3

Vi sono alcuni monomi simili e, svolgendo i calcoli, scopriamo anche che alcuni si annullano:
