Il delta quarti è un valore che si calcola durante lo svolgimento delle equazioni di secondo grado quando i relativi coefficienti rispettano alcune caratteristiche. Il procedimento riguarda quella che viene chiamata formula ridotta e prevede un calcolo del discriminante leggermente differente e che semplifica i calcoli.
Quando si usa il delta quarti
La risoluzione delle equazioni di secondo grado prevede nella maggior parte dei casi il calcolo del delta (o discriminante), che non è altro che una combinazione dei coefficienti che compongono l’equazione stessa. Data l’equazione di II grado:
ax2+bx+c=0
può essere utilizzata la formula ridotta quando il coefficiente b è pari
Ricordi la formula del discriminante normale? In questo caso c’è una piccola variazione:

Una volta capita qual è la formula del delta quarti, si possono facilmente calcolare le due soluzioni x1 e x2 del problema. Ecco la formula ridotta con il delta quarti:

Differenza con tra Δ/4 e Δ
Come è possibile notare cambia notevolmente la formula ridotta da quella standard. La prima differenza, nonché la più importante, c’è già nel radicando: il termine b infatti si dimezza e non c’è bisogno di calcolare il quadruplo prodotto tra primo e ultimo coefficiente. Sparisce infatti “4ac” e c’è il semplice prodotto tra “a” e “c”.
Perché usare la formula ridotta – pro e contro
Nei libri di testo viene consigliato l’uso del delta quarti per semplificare i calcoli. Può capitare, infatti, che i coefficienti dell’equazione di secondo grado da risolvere siano alti e portino a dei numeri piuttosto alti. Per evitare ciò, nell’ipotesi che il coefficiente del termine di grado 1 sia pari, è possibile risolvere con il delta quarti, che oggettivamente ci porterà a dei numeri più bassi da gestire.
Alcune considerazioni
Questo metodo che stiamo per presentarti è da considerarsi solo come un’alternativa al calcolo del normale discriminante a cui sei abituato. In realtà viene utilizzato solo nel biennio delle superiori basta ricordare una sola formula (quella del delta) per risolvere le equazioni di secondo grado. Imparare anche il delta quarti, quando poi il programma diventa più vasto, ha un’utilità abbastanza limitata.
Ad ogni modo, è importante che gli studenti imparino questa formula e la usino quando il programma lo impone.
Esempio
x2-4x-5=0
Per quanto abbiamo detto fino ad ora siamo liberi di utilizzare sia il metodo tradizionale con il delta che la formula ridotta con il delta quarti. E’ una nostra scelta, a meno che il problema non specifichi quale dei due metodi di calcolo usare. Visto che questa lezione verte sull’uso della formula ridotta, utilizzeremo il delta quarti.

Esercizi

Il primo esercizio che ti abbiamo proposto non è incompleto, ma presenta un caso particolare. E’ infatti un’equazione con delta negativo. Questo vuol dire che il suo risultato è IMPOSSIBILE. Possiamo così passare al prossimo esercizio.

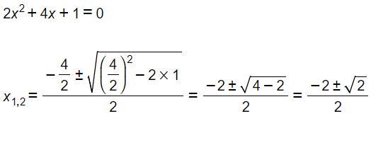
In questo caso abbiamo invece il delta quarti maggiore di zero, per cui ci sono due soluzioni reali e distinte, ma con la radice quadrata. Ciò non cambia nulla però con il metodo o con la tecnica di calcolo utilizzata.

In quest’ultimo esercizio analizzato, è stato eseguito prima il quadrato di un binomio, poi dopo pochi passaggi, visto che il coefficiente di primo grado era pari, è stata utilizzata la formula ridotta. Quindi è stato usato il delta quarti e si è arrivati anche in questo caso a risolvere l’esercizio in pochi semplici passaggi.