Equazioni di secondo grado esercizi svolti e problemi


Gli argomenti della lezione


Abbiamo già visto come risolvere le equazioni di secondo grado, analizzando i vari casi di equazioni pure spurie e complete. Ci siamo soffermati sul calcolo del determinante per il calcolo delle soluzioni utilizzando sia la formula generica che la ridotta, risolvendo assieme anche qualche piccolo esercizio sulle equazioni di 2 grado.

Iniziamo a vedere subito delle equazioni di secondo grado, esercizi svolti più complessi partendo da quelle incomplete, quindi pure o spurie.

Equazioni di secondo grado esercizi su pure e spurie

Esercizio n.1

(x+5)(x-5)=44

In questo primo esercizio svolto non è possibile ricorrere alla legge dell’annullamento del prodotto. Te la ricordi? E’ quella legge per cui se AxB=0 allo puoi risolvere scrivendo A=0 e B=0. In questo caso non possiamo usarla perché il termine noto non è pari a 0. Quindi andiamo a risolvere moltiplicando le parentesi tonde come prodotto di una somma per una differenza. Se non ricordi come si fa, ti consigliamo di riguardarti brevemente i prodotti notevoli.

x2-25=44 → x2=44+25=69

Rientriamo così nel caso degli esercizi sulle equazioni di secondo grado pure. Manca infatti il termine di primo grado, cioè la x. Per cui posso semplicemente risolvere facendo la radice quadrata col segno meno e più.

x=±√69

Ricordiamo che il doppio segno è dovuto al fatto che un’equazione di secondo grado deve avere due soluzioni, dato che risolvendo una radice quadrata con i numeri relativi, ottengo un risultato positivo e uno negativo.

Esercizio n.2

7x2-3/5x=0

In questo caso ci troviamo di fronte al caso di equazioni di secondo grado spurie, cioè con il termine noto pari a zero. Per risolvere esercizi di matematica così, è sufficiente mettere in evidenza e poi applicare la legge dell’annullamento del prodotto.

x(7x-3/5)=0

x=0  e  7x-3/5=0 → 7x=3/5 → x=3/35

Equazioni di secondo grado fratte esercizi

equazione-fratta-esempio

Se ricordiamo come si risolvono gli esercizi sulle equazioni di primo grado fratte, non avremo alcuna difficoltà ora. Anche in questo caso, infatti si andrà a calcolare il minimo comune multiplo e si indicheranno le condizioni di esistenza.

mcm=(x+1)(x+2)(x-2)  → CE:(x+1)(x+2)(x-2)≠0

x+1≠0 → x≠-1
x+2≠0 → x≠-2
x-2≠0 → x≠+2

Dopo le condizioni di esistenza posso così continuare a risolvere l’esercizio dato dalla traccia.

esercizio-equazione-fratta-ii-grado

Elimino i termini di terzo grado e porto tutto a primo membro eliminando i termini opposti o la cui somma è pari a 0:

-8x+x2+4x-2x2=0 → -x2-4x=0

 

Rientriamo ora nel caso degli esercizi sulle equazioni di secondo grado spurie, per cui posso risolvere con la messa in evidenza totale, detta anche raccoglimento a fattor comune. Applicando la legge dell’annullamento del prodotto, di cui abbiamo parlato ad inizio lezione, posso trovare così facilmente il risultato.

x(-x-4)=0

x=0 e x=-4

Le soluzioni sono entrambe accettabili poiché non escluse dalle condizioni di esistenza.

Equazioni di secondo grado esercizi con il calcolo del determinante

Esercizio n°1

5x2-4x+8=0

soluzione-equazione-secondo-grado

Il primo degli esercizi sulle equazioni di secondo grado che andiamo ad analizzare ha una particolarità: il determinante è negativo. Questo significa non possiamo proseguire. Semplicemente concludiamo che l’esercizio sull’equazione di 2 grado non ha soluzioni reali.

Approfondimento: come risolvere le equazioni con delta negativo

Esercizio n°2

x(x-5)/12=12-x

Iniziamo a risolvere il secondo degli esercizi sulle equazioni di secondo grado svolgendo la moltiplicazione a primo membro e contemporaneamente calcolando il minimo comune multiplo.

x2-5x=12(12-x)

x2-5x=144-12x

x2-5x+12x-144=0

x2+7x-144=0

 

equazione-secondo-grado-esercizi-svolti

Equazioni di secondo grado fratte esercizi più complessi

Esercizio n°1

esercizio-equazione-II-grado

Si tratta per ora di uno degli esercizi sulle equazioni di secondo grado fratte, dato che oltre al calcolo del minimo comune multiplo dovremo calcolare il determinato. In realtà si tratta di un esercizio molto semplice che riusciremo a risolvere in pochi semplici passaggi.

Il primo passo per risolvere l’equazione fratta di 2 grado è scomporre tutti i denominatori,  calcolare il minimo comune multiplo e poi imporre le condizioni di esistenza.

esercizio-svolto-equazione-secondo-grado

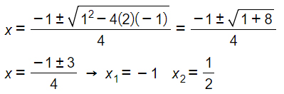
x2-1+x2+3x-x=x-3

 

Posso così risolvere l’esercizio sulle equazioni di II grado, portando  tutto a sinistra:

2x2+x-1=0

equazione-risolta-secondo-grado

 

Equazioni di secondo grado esercizi da risolvere

equazioni-di-secondo-grado-esercizi-1

Hai già risolto tutti gli esercizi di oggi? Se vuoi proseguire con le esercitazioni puoi trovare una lunga serie di problemi ed equazioni di secondo grado sul buon libro Matematica Equazioni di Secondo Grado. Se hai trovato dei problemi con le equazioni di secondo grado, esercizi o problemi, non esitare: contattaci e risolveremo ogni tuo dubbio.

Una volta imparato a risolvere gli esercizi sulle equazioni di secondo grado ti invitiamo a passare al prossimo argomento: le disequazioni di II grado…x

Lascia un commento