Le espressioni con le potenze sono delle espressioni algebriche in cui compaiono numeri interi e frazioni con delle potenze. Generalmente si risolvono seguendo con poche operazioni matematiche e facendo attenzione alle parentesi presenti.
Per risolvere le espressioni con potenze è necessario applicare le proprietà delle potenze e poche altre semplici operazioni, come somme, prodotti o differenze. Attenzione ovviamente ai segni!
Come risolvere le espressioni con le potenze – regole
Di seguito abbiamo riassunto alcuni consigli e regole generali da tenere presente durante lo svolgimento degli esercizi.
- Segui la priorità dei calcoli che vengono dati dalle parentesi. Si ricorda che si risolvono prim le parentesi tonde, poi le quadre e per ultime le graffe.
- Applica se puoi le regole sulle potenze. Se ciò non fosse possibile puoi calcolare le potenze dei numeri a mente o con la calcolatrice.
- Esegui prima moltiplicazioni e divisioni, solo all fine addizioni e sottrazioni.
Risolvi espressioni con potenze – esercizi
Per aiutarti a capire come si fanno le espressioni con le potenze, iniziamo questa esercitazione con un esercizio facile e commentato passo passo.
Esercizio 1
Risolvi le seguenti espressioni con potenze

Svolgimento
In questa prima espressione con le potenze non ci sono tantissimi calcoli da fare se non fare attenzione agli esponenti usando le regole giuste. Si parte risolvendo la parentesi tonda:
![]()
Ricordati che la divisione tra due potenze con la stessa base si risolve facendo la differenza degli esponenti. Proseguiamo quindi con l’espressione:

Il calcolo successivo da eseguire è la potenza di potenza (84)2. Basta moltiplicare quindi i due esponenti dell’espressione matematica per ottenere 88. Si ottiene quindi:

A questo punto proseguiamo con la moltiplicazioni tra potenze. Nell’espressione compare infatti:
![]()
Si risolve semplicemente addizionando gli esponenti. Per cui l’espressione con potenze diventa:

Proseguiamo a questo punto risolvendo la parentesi quadra.
![]()
Si prosegue risolvendo anche la parentesi graffa.

Ultimo calcolo per risolvere l’espressione:
![]()
Esercizio 2
Risolvi le espressioni con le potenze di seguito:

Svolgimento
Attenzione alle espressioni semplici. In questo caso, infatti, nonostante l’esercizio sembri più facile e breve, in realtà le basi delle potenze non sono tutte uguali.
Il primo passo è quindi quello di ricondurre tutte le potenze alla stessa base, la minore delle quali è 2. Al posto di ogni base metteremo una potenza di due. Per esempio 4 diventa 22, 8 diventa 23 e 16 diventa 24. Si ottiene quindi:

Esercizio 3
Risolvere le espressioni con potenze di seguito:
![]()
Svolgimento
Semplifichiamo l’espressione risolvendo la parentesi tonda, visto che le basi delle potenze sono tutte uguali.
![]()
A questo punto bisogna trasformare tutte le basi riconducendole allo stesso numero.

Esercizio 4 – espressioni con potenze e frazioni

Svolgimento
Senza lasciarci spaventare dalla presenza delle frazioni risolviamo come abbiamo fatto fino ad ora: applicando le proprietà delle potenze.


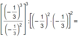
Esercizio 5

Svolgimento
In questo esercizio la difficoltà maggiore è rappresentata dalla doppia frazione. Dato che però si tratta di una divisione di due potenze aventi la stessa base, risolviamo facendo la sottrazione tra gli esponenti.
L’espressione con potenza fratta diventa quindi:


Conclusioni
In questa lezione abbiamo visto come si risolvono le espressioni con le potenze anche in presenza di frazioni doppie, il caso più difficile.
Ovviamente ti consigliamo di esercitarti e di ripetere bene le regole sulle potenze. Nel caso poi dovessero esserci dubbi o hai altre curiosità da chiederci, lascia un commento in basso. Il nostro staff ti risponderà nel minor tempo possibile.
Ciaooo
Aiutatemi con l’espressione con le potenze