La formula di sdoppiamento in geometria analitica è un metodo rapido e facile per calcolare la tangente ad una generica curva passante per un suo punto. Può essere applicata alla circonferenza, all’ellisse, alla parabole e all’iperbole. Vediamo allora a cosa serve la formula di sdoppiamento e qualche facile esempio pratico.
Formula di sdoppiamento a cosa serve
Uno degli esercizi che maggiormente mette in difficoltà gli studenti in geometria analitica è il calcolo della retta tangente ad una figura e passante per un punto.
Abbiamo già visto il metodo del DELTA -> guarda la lezione sulla retta tangente alla circonferenza passante per un punto dato.
La formula di sdoppiamento è un’alternativa valida purché il punto che ci viene fornito appartenga alla curva. Può essere applicata a tutte le curve di secondo grado. Vediamo nel dettaglio i casi applicati alle varie figure.
Come ricordare la formula dello sdoppiamento
Stai pensando: come faccio a ricordare tante formule, visto che per fare gli esercizi di matematica ne servono già così tante? Ecco il metodo migliore per ricordare la formula di sdoppiamento in geometria analitica qualsiasi sia la conica o la figura da studiare.
Parti dalla formula canonica o normale della curva e vai semplicemente ad apportare una modifica. Al posto di x al quadrato andrai a mettere x per x0, cioè l’ascissa del punto di tangenza. Dove trovi la x di grado 1 andrai a mettere invece la semisomma di x e x0, cioè (x+x0)/2. Stessa cosa con la y. In questo modo potrai ricavare le formule di sdoppiamento di cui avrai bisogno, senza dimostrazione.
Formula di sdoppiamento della circonferenza
Tralasciando la dimostrazione, ciò che ci serve sapere è che la formula di sdoppiamento ci serve per calcolare la retta tangente alla circonferenza passante per il punto P appartenente alla circonferenza. Come puoi vedere semplicemente si parte dall’equazione della circonferenza e apportando qualche piccola modifica, come ti abbiamo suggerito nel paragrafo precedente.

Formula di sdoppiamento della circonferenza
Formula di sdoppiamento parabola
Anche in questo caso la formula di sdoppiamento serve a calcolare l’equazione della retta tangente al punto P appartenente alla parabola. Si parte come sempre dall’equazione della parabola e si va a fare una piccola sostituzione.

Formula di sdoppiamento della parabola
Formula di sdoppiamento ellisse
Come per parabola e circonferenza, anche per l’ellisse esiste la formula di sdoppiamento, che ora vedremo nel caso di ellisse riferita al centro e agli assi. Anche in questo caso sono necessarie solo alcune modifiche all’equazione dell’ellisse per alleggerire i calcoli e calcolare in maniera più facile la retta tangente.

Formule di sdoppiamento ellisse con fuochi sull’asse x
Per ottenere la formula di sdoppiamento dell’ellisse con fuochi sull’asse y, basta scrivere la stessa formula ma a secondo membro c’è -1.
Formula di sdoppiamento iperbole
Anche per l’iperbole esiste la formula di sdoppiamento, che ora vedremo nel caso di iperboli riferite al centro e agli assi. Data l’equazione dell’iperbole, con la solita trasformazione possiamo ottenere:

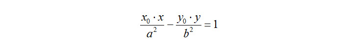
Formula di sdoppiamento dell’iperbole con i fuochi sull’asse x
Analogamente all’ellisse, la formule dello sdoppiamento dell’iperbole con i fuochi sull’asse y, è sufficiente andare a scrivere al secondo membro -1. Allo stesso modo è possibile ricavare la formula di sdoppiamento dell’iperbole equilatera. Basta solo tenere in considerazione che a e b sono uguali. In caso di iperbole con funzione omografica risolvi con il metodo del delta uguale a 0.
Esempi ed esercizi con formula di sdoppiamento
1) Calcolare l’equazione della retta tangente alla circonferenza di equazione x^2+y^2=25 nel suo punto di coordinate P(3;4).
Applicando il metodo del delta = 0 dovremmo scrivere l’equazione della retta passante per 1 punto e coefficiente angolare noto y-y0=m(x-x0) e mettere a sistema con l’equazione della circonferenza. Per evitare di risolvere un sistema di equazioni di secondo grado ricorriamo alla formula di sdoppiamento per la circonferenza.

Come puoi vedere siamo arrivati facilmente alla soluzione in pochissimi passaggi, ottenendo l’equazione della retta. Con il metodo del delta uguale a 0, invece, avremmo impiegato molto più tempo e sarebbero serviti molti più calcoli, che spesso causano errori durante i compiti di matematica.
2) Determinare l’equazione della retta tangente all’iperbole 4x^2+9y^2=36 nel punto P(5;8/3).
Abbiamo trovato online la richiesta di questo utente che chiede su Yahoo Answers come risolvere calcolare l’equazione della retta tangente all’iperbole passante per un suo punto. Come puoi vedere la soluzione con il delta risolvente è estremamente lunga e laboriosa. Vediamo se invece avesse provato a risolvere con la formula di sdoppiamento per l’iperbole.
Per poter applicare quest’ultima formula è necessario che il punto P appartenga all’iperbole. Per verificarlo basta sostituire le coordinate nel punto nella formula dell’iperbole. Con un semplice calcolo algebrico otterremmo 36=36, per cui, avendo trovato un’equivalenza, P appartiene all’iperbole. Possiamo applicare le formule di sdoppiamento.

L’unica difficoltà di questo esercizio è individuare correttamente i valori numerici di a e b. Fatto questo è sufficiente applicare le formula di sdoppiamento iperbole per trovare rapidamente la soluzione.
Se dovessi avere ancora dubbi o problemi sulle formule di sdoppiamento, contattaci. Il nostro staff è a tua completa disposizione.
